You can find a test that is writing A2 and speaking B1. There is no need for a test to have matching levels of writing and speaking.
There are some adaptive tests like SDS (SDS PrĂŒfung - Alemania Deutschschule - not sure if it is still recognized by some of Kantons) where you do not need to apply for a specific level, and other tests like Fide (fide test) where you can register for a A1-A2 or A2-B1 test instead of a single level.
I thought Goethe-type exams tested all sections the same. But I see that in Zurich canton there is also KDE (Cantonal German Test for Naturalisation). I suppose that the KDE, being specifically designed for naturalisation, will test A2 writing and B1 speaking, can anyone confirm this?
It seems that depending on the municipality the KDE can be taken before or after submitting the application.
In this link is written:
When do I have to do the KDE? Winterthur: Make the KDE before sending the application.
Kantonaler Deutschtest fĂŒr die EinbĂŒrgerung (KDE) | Kanton ZĂŒrich
So it seems that in Winterthur you have to do the KDE before submitting the application for naturalisation. Do you know if it is possible to do the KDE before doing the 10y in Switzerland? I would like as soon as I do the 10y to have all the paperwork ready and send my application.
Do you know if the KDE is easier than the Goethe test?
In this link is written:
I have already done a German test (for example telc, Goethe, ösd or fide) at level B1.
Kantonaler Deutschtest fĂŒr die EinbĂŒrgerung (KDE) | Kanton ZĂŒrich
Maybe there is another test that is easier than KDE and Gothe and that is useful for naturalisation?
KDE is designed for naturalization and indeed Writing and Reading are A2 level, while Listening and Speaking are B1 level. I donât think someone could tell you which test is easier, because usually people take only one of them and this makes comparison hard. A teacher who prepares you for this kind of exams may be the right person to answer such a question based on experience and a lot of people who have taken the different exams.
A few facts about the different options:
-
KDE is designed for naturalization and as far as I know it is not recognized by anyone else except Switzerland. If you want to have a certificate that you can use for other purposes as well, KDE is perhaps not the right option. If you care only about naturalizaton, I think KDE is simpler than Goethe or any other well-known certificates.
-
KDE has many questions related to your daily life in Zurich, so you can answer them easily. I donât know (and I donât think so) if Goethe-type exams have questions about Zurich.
-
Between KDE, SDS and other options that are recognized (maybe) only by Switzerland, you should look at the format of the exam and see what fits your style. They are quite different.
For example, for KDE, you need 30 out of 50 points (60%) in the written part (Listening B1, Reading A2, Writing A2) and 30 out of 50 points (60%) in speaking. Therefore speaking counts more than the other parts, but this simply means you cannot compensate poor performance in speaking with great performance on the written part. Speaking has two tasks, the first is personal information, and the second one is talking about a topic that you choose among 4-5 options they give you. Listening includes 3 out of 13 questions in Swiss dialect, but all the questions are True or False and you donât need to achieve 60%, you can still pass the written part even if you fail in Listening. You can try the model test for KDE and check your performance, the real exam should be like that.
More information about KDE can be found in the link below:
Whether you are allowed to take KDE before the 10 years, I donât know and perhaps depends on the municipality, so I recommend you to ask directly your municipality, However, if you really want to save time, you should start the process for registering in Zivilstandsamt so that you can get the required extract from the Swiss civil status register on time. The duration of the process may take a few months or simply a few days depending on the country you are a national and the country you were born (if they are not the same). If you are already registered, then no worries, the extract is issued in a few days.
Thanks for sharing your KDE experience.
Not sure if I have registered in Zivilstandsamt already, prob not.
I understand I can do this registration before my 10th year here. So the idea is to be registered in Zivilstandsamt way before the 10y, by when I am reaching the 10y I can ask for the extract and then just wait a few days. I didnât think about that. This is a very good advice, thanks
Not sure if I have registered in Zivilstandsamt already, prob not.
I understand I can do this registration before my 10th year here. So the idea is to be registered in Zivilstandsamt way before the 10y, by when I am reaching the 10y I can ask for the extract and then just wait a few days. I didnât think about that. This is a very good advice, thanks
I am not sure if you can do exactly what you described. At least in the City of Zurich the moment you submit your request for receiving the extract, it tells you that if you are registered it will be issued and sent to you within a few days. If you are not registered, you will receive a document that describes what documents you need for the registration (certified translations, apostille, etc), and once you submit them it may take a few months until the registration is completed. When it is complete, you will automatically receive the extract that you originally asked. I donât know if you can tell them to do the registration but not to send you the extract of the civil registry. It sounds like a detail but in practice the extract should be recent, not more than 6 months old, so if you receive it too early you will have to get another one. The fees are not that high though. I paid about CHF 100 and this cost includes the registration. Starting the registration 6 months before the day you submit the naturalization application should be good. If you are not married and you have no kids, then I donât think you are registered.
Hi all,
I just registered to thank all the contributors to this thread. Iâve been reading across all the great feedback.
Iâm preparing my application now and got really valuable insights.
We are a family of 4, EU citizens, living in kt ZH, with my two kids born here. I will do a family application so I understand the process might change slightly.
Besides, reading through the documentation from my Gemeinde, they state they donât perform interview by default, only in cases where here are doubts about integration or language skills, so letâs see how this plays out.
Again thanks and I keep on reading you.
Also check out that you can take KDE on some private language schools right after doing a few daysâ preparation course. I think this might be more achievable since you have everything fresh. Anyways the personal interview is the ultimate german test ![]()
Maybe your Gemeinde is different. I know a German family that hoped not to have an interview since they applied after the knowledge test became obligatory, but they had to have it anyway (they didnât have theory questions like we had, because we had no knowledge test, but only personal questions). As well as another German family. Both live in CH for a long time and are native speakers.
May I please ask for an advice from someone who applied in VD recently?
The list of needed docs in VD is quite simple: application, permit C, copy of a passport, language certificate. It is mentioned on the website that applicant should not receive social help, be in debt or have legal proceedings, however all these docs are not listed in the checklist. Should they still be supplied or not?
Same question is for salary statement (we apply as family, and I do not work, only volunteer; husbandâs salary is sufficient). And also should be write a formal cover letter with motivation, references, mentioning that our kids have already received their passports (for them nothing special was required). OR - not to overcomplicate, if not specifically required?
Thank you in advance, helpful community!
Stick exactly to whatever they are asking in the form. If they need more documents they will let you know.
For VD : The docs will be asked later on. At first they have to do a basic eligibility check, before they get further. After this is done, you will be asked for these documents.
Reason among others is that there is a cost, so if you are not eligible for some reason there is no need to go further. So only provide what they ask for.
PS: at the town stage, the town may ask for further documents, typically employment payslips, which are not already asked for by the canton.
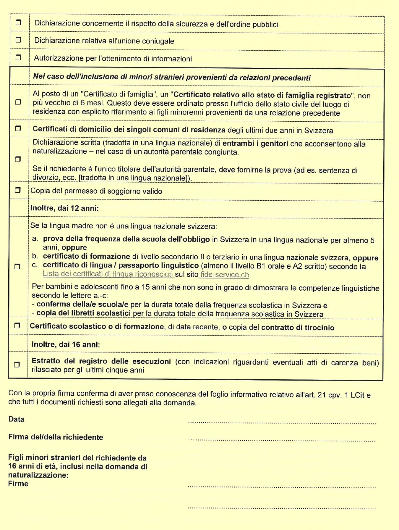
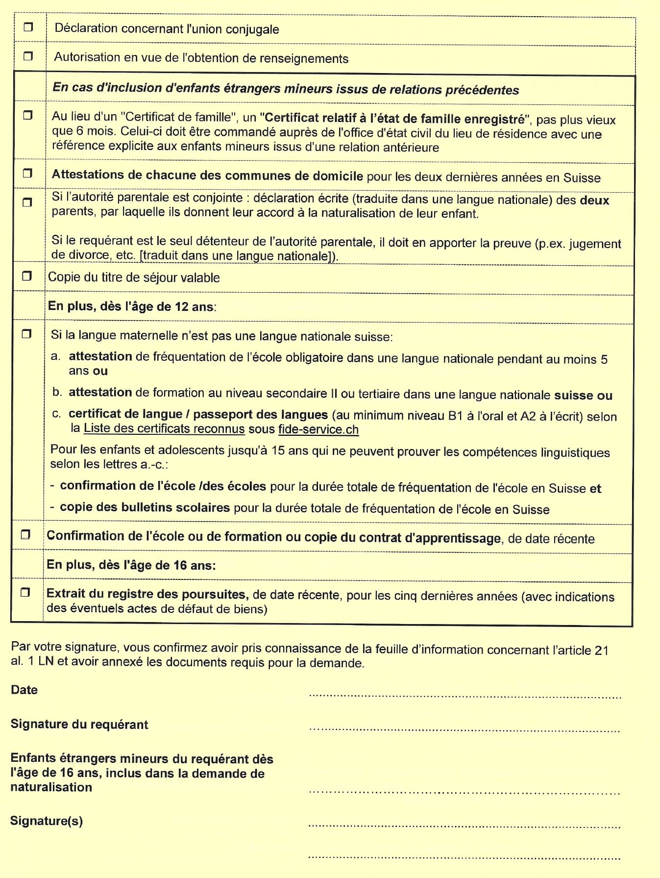
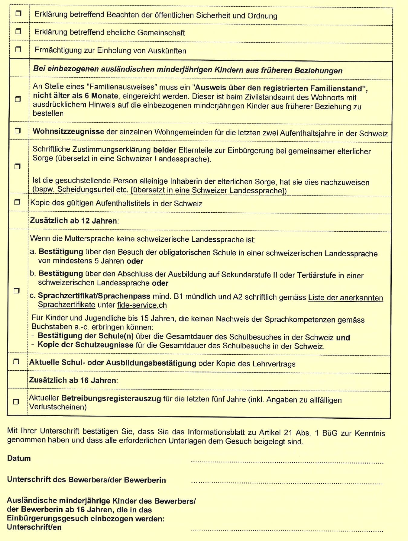
There is a document checklist that is provided by the SEM in Bern to all Kantonâs, and it comes in all 3 official languages. I was given this by my Gemeinde in all languages, however I only needed the German one. The paper is in yellow color. Let me see if I can take a photo and attach it for you guys, I have seen many people asking this info. Normally when they give you the application form, they should also give you this document checklist.
Here is the document checklist in all 3 languages, but this is for facilitated naturalization (via marriage to a Swiss spouse). Probably remove the marriage or Swiss spouse related documents and they should be suffice for ordinary naturalization.
This is a big âProbablyâ⊠Facilitated and ordinary naturalization are two very different beasts. The first is Federal, the second cantonal. Unlike facilitated naturalization, for ordinary, each canton has its own rules, and sometimes each town requires different documents and proofs (looking through the posts here shows that). And of course, facilitated is âeasierâ hence the name, so a lot less requirements, it is not enough to âremove the marriage or Swiss spouseâ and you have ordinary..
Mine was facilitated, so obviously this document checklist comes directly from SEM (Bern) on what needs to be submitted to them, ordinary yeah different indeed, with ~2300 Gemeindeâs and 26 Kantons, the combinations are ~60,000. This checklist was dated 2023, so it might have been updated in 2025 now, but itâs a good start, as nobody has ever posted any checklist here based on my knowledge.
Please donât mix facilitated naturalization and ordinary naturalization. They are different in terms of law and procedure. Each canton has its own naturalization law that respects the fundamentals set out in the federal law but is different than other cantons. For Vaud for example, the checklist is well defined in the application form. Forms can be found under Formulaires | Ătat de Vaud
Hello,
Is anyone in Adliswil recently got citizenship? Would like to hear about timelines, interview process and experiences. I applied this month.
My civil registry took 1 year to complete. So, do it as quick as possible.
When did you apply, have you had to upload an excerpt from the civil register, if yes, which document have you requested from them?





